卧龙吟擂台胜率的计算
手机阅读
首先,感谢前人铺路。感谢前人提供想法。还有一些基础理论。
这里先谢谢againhow和377世纪两位对于擂台胜率的计算方式(即擂台逆袭概率)
更正差1武力单挑逆袭概率:100万组随机模拟数据 源于对真理的不懈追求
http://bbs.lequ.com/forum.php?mo ... mp;fromuid=24863413
首先介绍基础,
①1点武力相当于100生命和11~20点伤害。
②擂台武将每回合输出为武力提供伤害和伤害将器提供伤害之和。
③武力值高者先手。
④每回合按照先后手进行伤害,生命值先为零者为负。不存在平局。
⑤**暂不确定**擂台回合数最高有限制。
计算理论:
因为在武力和伤害将器固定的情况下,每回合的伤害数基本上为一个固定数,范围大小可控。如纯武力将器,擂台输出为武力值的11~20倍。带有伤害将器,擂台输出为武力值的11~20倍加固定伤害。因此完全打死对手和自己被打死的回合可以计算。获胜的条件则是自己不被打死且对手被打死。那么只要算出固定回合内完全打死对手和自己被打死的总排列个数,在算出自己不被打死且对手被打死的总排列个数,就能得出自己的胜率了。
假设A选手和B选手。
A选手武力为AM,生命将器等级总和为AX,武力将器等级总和为AY,伤害将器等级总和为AZ,那么A选手的生命值为500*AX+100*(AM+3*AY),伤害为11~20*(AM+3*AY)+100*AZ
B选手武力为BM,生命将器等级总和为BX,武力将器等级总和为BY,伤害将器等级总和为BZ,那么B选手的生命值为500*BX+100*(BM+3*BY),伤害为11~20*(BM+3*BY)+100*BZ
A选手死掉所需要的回合数为【500*AX+100*(AM+3*AY)】/【11~20*(BM+3*BY)+BZ】
B选手死掉所需要的回合数为【500*BX+100*(BM+3*BY)】/【11~20*(AM+3*AY)+AZ】
换一种看法,是把A的生命值当做许多相同的球,每个球数值为B的武力加一个数。每个回合从A里拿11~20个球,要几次拿光。
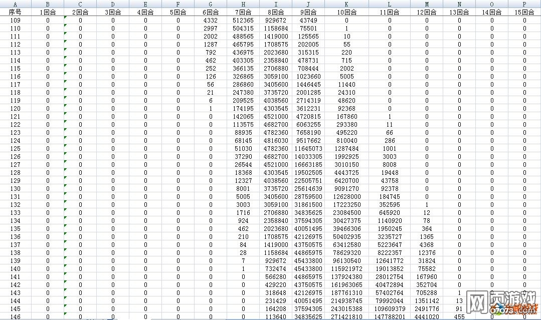
下面放图,序号为球的数目,对应不同回合的数字代表拿光一共有多少种拿法。





下面举例说明
比如司寇和东方对打
司寇武力为220,武力将器等级总和为57,那么司寇的生命值为39100,伤害为11~20*391
东方武力为250,武力将器等级总和为60,那么东方的生命值为43000,伤害为11~20*430
39100/430=91
43000/391=110

- 拯救小编,无私分享:



























