07073网页游戏门户

首页

全站导航

游戏大厅 > 休闲竞技 > 火线精英 > 火线精英攻略 > 火线精英五星帝王真号 账号密码分享

火线精英五星帝王真号 账号密码分享

2016-09-22 17:44 来源:网络 作者:未知

手机阅读

  小编送福利火线精英五星帝王号和密码全是真的。能做伸手党为什么还要不吱声?是不是还在因为时间不够玩不到好的游戏号,小编这里能给大家带来一些福利,且听慢慢道来。

  小编为大家带来火线精英好号和密码的分享,小编亲自都测试过

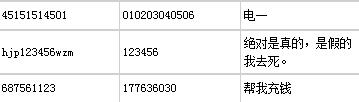
  火线精英五星帝王账号截图

小编送福利火线精英五星帝王号和密码全是真的

  火线精英五星帝王账号密码

小编送福利火线精英五星帝王号和密码全是真的

责任编辑:大熊
拯救小编,无私分享:

网友评论

Copyright © 2002-2019 07073游戏网版权所有 关于我们 | 招聘信息 | 联系我们 | 网站地图 | 友情链接 | 意见反馈 | 厂商自助后台 商务合作:953735556@qq.com