攻城掠地武将,攻城掠地武将觉醒,攻城掠地武将觉醒概率
今天和大家分享一下攻城掠地觉醒的概率(然并卵),虽然小编也是一头雾水不明觉厉,但是请看下面分析吧。
点击觉醒的时候一共是5团火,
可能飞向的地方有:
4个小技能
3个属性
1个临时加成
1个大技能
总计有9个位置。
自然堂妹是不可能这样放过玩家的还有一个是必须加上的就是无效项。 说白了就是一点反应都没有。这样可能飞向的位置就至少有10个了,至于还有没有其他的可能这就不做计算了。属性和临时加成的效果相信大家都知道了。下面给大家计算下小技能和大技能觉醒的概率,数据纯属猜测大家可作为参考。
首先来说大家最关系的大技能觉醒的概率。觉醒的条件是要5个火同时飞向大技能,并且没有一个火是无效的。
什么是无效:就是火飞出来的时候本身有一个 自身属性如果是有效的就计1,如果无效就计0,在飞向属性点的时候这个可以看到明显的效果。 有效加1点属性无效就没变化。我们先假设5个火同时飞向了 大技能,每个火又1/2的概率是有效的。那么在这种情况下你的觉醒概率就是 0.5的5次方,具体数值就是3.125% 。这个概率在游戏中是非常大的,那么为什么在小技能和属性全满的时候还是会很难觉醒呢?
这里就要说到最**的零时加成,即使你属性和小技能全满了火不会飞过去,但是还是有可能飞到零时加成那边在这种情况下每团火飞向大技能的概率本身就只有1/2,同时飞向大技能的概率自然同样也是 0.5的5次方,具体数值就是3.125% 。综合这2项数据你觉醒的概率就变成了0.09765625% 。这个概率就变得非常低了,这也就说明了为啥很多人属性全满还无法觉醒的问题了。那么如果技能和属性都没满的情况下呢?
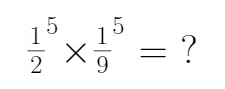
这里就给大家简单计算下

至于具体是多少 ? 我已经没法打出来了 贴图吧!

是不是一定准确我不敢说,堂哥每次都会偷偷的改数据(觉醒数据至少改过2次),但是个人认为差距不会太大!所以在这里奉劝各位还没觉醒的玩家,和堂哥玩概率你就输了!
精彩推荐:
看完这篇新闻有何感觉?已经有 - 人表态。 我要说两句
| - |
- |
- |
- |
- |
- |
- |